4.1.4 锋生和锋消
锋生和锋消是锋面动力学和天气分析中的两个重要天气概念。大气中锋的形成、加强或减弱、消失,可导致锋面附近天气的剧烈变化。锋生一般是指密度或温度不连续形成的一种过程,或者是指已有一条锋面存在,其密度(或温度)水平梯度增大的过程。而锋消是指与锋生过程相反的过程。锋面的锋生和锋消过程可以用锋生函数来描述。
锋生函数定义为
![]()
(4.13)
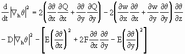
其中
![]()
(4.14)
![]()
梯度随质点运动的变化率。Fh>0表示锋生,Fh<0表示锋消。
由热力学方程有
![]()
(4.15)
其中,Q表示非绝热加热。
将(4.15)式分别对x,y求微分可得
![]()
(4.16)
![]()
(4.17)
而

(4.18)
利用流体力学知识,可有

(4.19)
其中


利用上式可得

(4.20)
即
![]()
(4.21)
其中
![]()
(4.22)
![]()
(4.23)
![]()
(4.24)

(4.25)
![]()
下面分别讨论以上四项的物理意义:
(1)非绝热加热T1
T1表示沿已存在温度梯度方向的非绝热加热的梯度产生的锋生作用。
(2)垂直运动作用T2
T2表示沿温度垂直梯度方向上,垂直速度的水平梯度产生的锋生作用。

消过程。
(3)水平运动辐合T3
T3表示在已有的水平温度梯度情况,水平辐合(D<0)或水平辐散(D>0)产生的水平温度梯度的增加(或减弱),即锋生或锋消。
(4)水平变形场的作用T4
T4表示整个水平变形产生的锋生作用。为了更进一步简化,选择典型变形场,设x轴为变形场的膨胀轴,y轴为收缩轴,而等位温线与
![]()

(4.26)
对于线性变形场,F=0,相应有
![]()
(4.27)
相应当β<45°,T4表示锋生作用,当β>45°,表示锋消作用,当β=0,表示锋生作用最大。
在观测分析研究中,试图确定锋生函数中各项Tn的相对重要性。然而,在实际大气中垂直运动的估计非常困难,即使能计算出,但其结果包含许多“噪声”,相应T2的估计同样如此,同样对T4的估计,在目前的有效观测资料的情况下,仍非常困难。
上述讨论的是锋生运动学方法,只能给出描述锋生的变量随质点移动的时间变化率,它并不能给出锋面形成的时间演变,而锋面形成的整个过程只能依靠锋生动力学方法,即锋生动力学。关于理想大气中的锋生过程的研究,由最早的准地转锋生理论,到后来发展起来的半地转锋生理论。有关这些理论可参考文献。
本文标题:锋生和锋消
手机页面:http://m.dljs.net/dlsk/tianqixue/10723.html
本文地址:http://www.dljs.net/dlsk/tianqixue/10723.html
