有一艘科考船从A科考站以40千米/小时返回悉尼,读下图,完成1~3题。

1.科考船航行途中可能遇到
2.科考船连续返航最短时间约为
3.船员到达悉尼,进行短暂休整,发现当地
地势平坦地区,人口较密。下图为我国某地局部地形图,完成4~6题。

4.下列四村中人口密度最大的是
5.M乡位于
6.仅从地形上考虑,修建同级别的公路,成本最高的是
7.火星与地球相比
8.火星探测器绕火星飞行,将成为
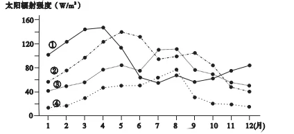
太阳辐射强度是指单位时间到达地面的太阳辐射量的多少,下图中我国北京、成都、上海、昆明四个城市的太阳辐射年变化图,完成9~11题。

9.图中表示北京的是曲线
10.7、8月份④地太阳辐射强度大于①地,是因④地
11.①地春季太阳辐射强度大于夏季,但气温低于夏季,可能是因为春季
下图为河南省登封观星台(34°N,113°E),台下有一长堤,横梁位于长堤上方6米高位置,长堤位于观星台的正北方。完成12~14题。
12.图中照片,摄影师面向
13.当北京时间12:00时,横梁的影子位于长堤的
14.当横梁在长堤上的影子距离观星台为6米时,登封市
“二十四节气”是中华民族古老文明和智慧的结晶,根据一年内太阳的位置变化把二十四节气分列在十二个月中,每月的月首叫“节气”,月中叫“中气”。“节气”是古人通过观察太阳周年运动而对时令、气候、物侯等变化规律的经验总结。读二十四节气示意图,完成15~17题。

15.十月份的“节气”是
16.在合肥市,白昼时间与“谷雨”时最接近的节气是
17.二十四节气中反映降水的是
18.“黄山四绝”反映了地球圈层的数量是
19.代表地理环境中最活跃的圈层要素
雾霾是漂浮大气中的PM 2.5等微粒、粉尘等粒子,在一定的湿度、温度等天气条件相对稳定状态下产生的天气现象。下图为我国雾霾多发区。完成20~22题。

20.雾霾导致能见度降低,因雾霾
21.正常年份,我国雾霾天气最多的是
22.城市雾霾多于农村,是因为城市
A. ①②
下图为沿20°E经线的地形剖面和某季节的大气环流示意图,完成23~25题。

23.该经线及附近的地形特征是
24.甲、乙、丙三地中
25.此季节
第Ⅱ卷(非选择题共50分)
考生注意事项:
26.读我国大别山东南某地等高线地形图,完成下列问题。(16分)

(l)简述该区域地形特征。(4分)
(2)某极限运动俱乐部在①处从崖顶到崖底开展绳降比赛,运动员准备的绳长最短需多长。(1分)
(3)比较②处和③处河流水量大小,并说明理由。(5分)
(4)古代该地“水草丰旷,遍布茅滩”,是著名的养马基地,简析该地作为养马基地的自然优势。(6分)
27.阅读图文材料,完成下列问题。(20分)
中国夏季夜雨现象分布广泛,而且地域性强,总体来看夜雨主要分布在山区及其附近地区,包括高原和盆地。山区夜雨的成因与独特地形的热力差异引起的山谷风环流有关,高原夜雨可能与夏季对流性的积状云比较多有关。下图是我国9个典型夜雨分布区夜间与白天降水百分比(夜间降水百分比减去白天降水百分比)的差异。

(l)结合图,比较青藏高原和四川盆地夜雨的差异。(6分)
(2)分析四川盆地多夜雨的成因。(8分)
(3)分析昼晴夜雨天气对农业生产的有利影响。(6分)
28.读图,完成下列问题。(14分)

(l)比较图中M地和N地7月份气温的差异,并说明原因。(3分)
(2)分析从甲地到乙地降水的变化规律,并分析其原因。(5分)
(3)从甲、乙两地降水与蒸发关系,指出甲、乙两地的农业地域类型并分析其原因。(6分)
2019第二次联考地理参考答案及【解析】
1.C
4.D
7.B
9.B
12.B
15.C
18.D
20.D
23.A
26.(16分)
(1)以盆地为主;四周高,中部低。(4分)
(2)10米(1分)
(3)③处大于②处,因为③处汇集了来自东北地区河流的水量,流域面积广;海拔较低,可能还有地下水和湖泊水补给,导致水量大。(5分)(若从②处回答亦可)
(4)位于亚热带季风气候区,气候温和湿润,土壤肥沃,草类茂盛;盆地地形,相对封闭,便于对马群看管;河湖众多,河漫滩等湿地多,方便马群饮水等。 (6分)
27. (20分)
(1)四川盆地夜雨降水量和降水频率都大于青藏高原;四川盆地夜雨降水量大于降水频率,说明降水强度较大或时间较长;青藏高原夜雨降水频率大于降水量,说明降水强度较小或时间较短。(6分)
(2)夏季西南季风和东南季风将暖湿气流输送到四川盆地,水汽充足;夜间,四川盆地比较封闭,散热慢,气温较高,形成低压;周围高山地区,降温快,气温较低,山风将山区的冷空气带入盆地;盆地暖湿空气被迫抬升,形成丰富降水。(8分)
(3)昼晴,光照强,利于农作物充分进行光合作用;夜雨可补充土壤水分,滋润土壤,为作物生长提供足够水分;同时夜雨还可使气温降低,减少作物养分的损耗,提高产量和品质。(6分)
28. (14分)
(1)M地气温低于N地(1分) M地位于河流源头,海拔高,导致气温低。(或N地位于河流中游,海拔低,气温高)(2分)
(2)从甲地到乙地降水逐渐减少(1分) 西部高大山系阻挡了太平洋水汽深入,东部是低缓山地,对大西洋水汽阻挡作用较小,故从甲至乙地的降水的水汽主要来自大西洋;从甲地到乙地由于距大西洋的距离逐渐变远,海洋水汽减少,导致降水逐渐减少。(4分)
(3)甲地为商品谷物农业,乙地为大牧场放牧业(或畜牧业和灌溉农业区)(2分)原因:甲地降水量大于蒸发量,气候湿润,利于种植业发展;乙地降水量小,蒸发量大,蒸发量远大于降水量,气候干旱,草场广阔,利于畜牧业的发展。(4分)
本文标题:安徽皖东名校联盟2019年高三上学期第二次联考地理试题
手机页面:http://m.dljs.net/dljx/jiexi/80676.html
本文地址:http://www.dljs.net/dljx/jiexi/80676.html
