
138、图4中?此时可能出现降水天气的地区是
A.山东半岛 B.长江三角洲 C.云贵高原 D.台湾岛
139?下列城市中?月平均气温和相应月降水量符合图4所示季节的是
A.巴 黎——3℃?35mm
B.旧金山——14℃?51mm
C. 莫斯科——20℃?75mm
D.孟 买——28℃?6mm
140、(2006年普通高等学校夏季招生考试地理广东卷(新课程))假设在北半球各高度水平气压梯度力相同自地面向上一定高度内风的变化情况为
A.风速变小风向不变 B.风速变大风向不变
C.风速加大风向逆时针方向偏转 D.风速加大风向顺时针方向偏转
【答案】D
【解析】气流在上升过程中温差增大气压梯度力也增大风速加大同时风向不断向左偏转(顺时针方向偏转)。
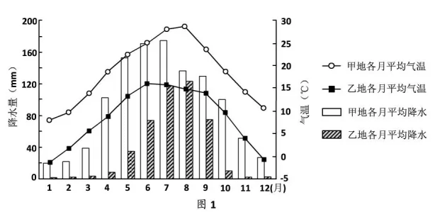
141、2010年普通高校招生统一考试广东卷?我国甲、乙两地均位于29°N附近。读“1971?2000年甲、乙两地各月气温和降水分布图”(图1)可知?
A. 甲地年平均气温较乙地低 B. 乙地降水较甲地丰沛C. 乙地是高原山地气候 D. 甲地属温带季风气候
【答案】C
【解析】甲\乙两地位于29°N附近;甲地最热月均温高于25°,最冷月均温约为8°C,4-10月为当地雨季(降水多超过100mm),属于亚热带季风气候;乙地冬冷夏凉,5-9月降水较多,应属 于高原山地气候.故选C。
142、(2005年普通高等学校夏季招生考试地理江苏卷(新课程))当我国各地白昼时间最短时?下列四幅图所示气压带、风带分布正确的是
A. a B. b C. c D. d【答案】C
【解析】我国白昼最短时为冬至日?太阳直射点在南半球?气压带、风带南移?另外要注意风带中信风、西风的方向。A、D两项明显不对?B项中风向应为西北风?故也不选。
本文标题:1994--2011年全国高考地理试题分类汇编专题03 大气(26)
手机页面:http://m.dljs.net/dljx/jiexi/59081.html
本文地址:http://www.dljs.net/dljx/jiexi/59081.html
