空气状态常用密度(ρ)、体积(V)、压强(P)、温度(t或T)表示。对一定质量的空气,其P、V、T之间存在函数关系。例如,一小团空气从地面上升时,随着高度的增大,其受到的压力减小,随之发生体积膨胀增大,因膨胀时做功,消耗了内能,气温乃降低。这说明该过程中一个量变化了,其余的量也要随着变化,亦即空气状态发生了变化。如果三个量都不变,就称空气处于一定的状态中,因此研究这些量的关系就可以得到空气状态变化的基本规律。
(一)干空气状态方程
根据大量的科学实验总结出,一切气体在压强不太大,温度不太低(远离绝对零度)的条件下,一定质量气体的压强和体积的乘积除以其绝对温度等于常数,即
上式是理想气体的状态方程。凡严格符合该方程的气体,称理想气体。实际上,理想气体并不存在,但在通常大气温度和压强条件下,干空气和未饱和的湿空气都十分接近于理想气体。
在标准状态下(P0=1013.25hPa,T0=273K),1mol的气体,体积约等于22.4L,即V0=22.4L/mol。因此
该值对1mol任何气体都适用,所以叫普适气体常数。
对于质量为M克,1摩尔气体的质量是μ的理想气体,在标准状态下,
这是通用的质量为M的理想气体状态方程,又称做门捷列夫-克拉珀珑方程。它表明气体在任何状态下,压强、体积、温度和质量4个量之间的关系(计算时要注意单位的统一)。
在气象学中,常用单位体积的空气块作为研究对象,为此,常将(1·16)式中4个量的关系变为压强、温度和密度3个量间的关系,即
式中R称比气体常数,是对质量为1克的气体而言的,它的取值与气体的性质有关。
上式表明,在温度一定时,气体的压强与其密度成正比,在密度一定时,气体的压强与其绝对温度成正比。从分子运动论的观点来看,这是容易理解的。气体压强的大小决定于器壁单位面积上单位时间内受到的分子碰撞次数及每次碰撞的平均动能,如分子平均动能大且单位时间里碰撞次数多,故压强也就大。
如前所述可以把干空气(不含水汽、液体和固体微粒的空气)视为分子量为28.97的单一成分的气体来处理,这样干空气的比气体常数Rd为
干空气的状态方程为
P=ρRdT (1·18)
(二)湿空气状态方程与虚温
在实际大气中,尤其是在近地面气层中存在的总是含有水汽的湿空气。在常温常压下,湿空气仍然可以看成理想气体。湿空气状态参量之间的关系,可用下式表示
P=ρ′R′T (1·19)
式中R′=R*/μ′,μ′是湿空气的分子量,ρ′是湿空气的密度。由于湿空气中水汽含量是变化的,所以μ′和R′都是变量。
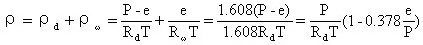
如果以P表示湿空气的总压强,e表示其中水汽部分的压强(即前述的水汽压),则P—e是干空气的压强。干空气的密度(ρd)和水汽的密度(Pw)分别是
式中Rw为水汽的比气体常数,Rw=R*/μw=8.31/18J/(g·K)=0.461 5J/g·K(μw为水汽分子量=18g/mol)。
因为湿空气是干空气和水汽的混合物,故湿空气的密度ρ是干空气密度ρd与水汽密度ρw之和,即
上式为湿空气状态方程的常见形式。如果引进一个虚设的物理量——虚温(Tv),即
高些。引入虚温后,湿空气的状态方程可写成
P=ρRTv (1·22)
式中R是干空气的比气体常数。为了书写方便,把Rd的下标d省去了。比较湿空气和干空气的状态方程,在形式上是相似的,其区别仅在于把方程右边实际气温换成了虚温。虚温的意义是在同一压强下,干空气密度等于湿空气密度时,干空气应有的温度。虚温和实际温度之差△T为
可见空气中水汽压e愈大,这一差值便愈大。在低层大气,尤其是在夏季,e值较高,这时必须用湿空气状态方程,但在高空,e值相对地较小,因而△T很小,这时便可用干空气状态方程,而不致造成大的误差。
本文标题:第三节 有关大气的物理性状(2)
手机页面:http://m.dljs.net/dlsk/qihou/23629.html
本文地址:http://www.dljs.net/dlsk/qihou/23629.html
